Determinanti De Ordin 3
Determinanti De Ordin 3
Bir matrisin determinantı, bu matrisin herhangi bir satır veya sütun elemanları ile bu elemanların işaretli minörlerinin çarpımlarının toplamına eşittir.i. Se considera o matrice patratica de ordin n , formand toate produsele posibile de elemente apartinand la linii si coloane diferite:
Iata cateva CV-uri de cuvinte cheie pentru a va ajuta sa gasiti cautarea, proprietarul drepturilor de autor este proprietarul original, acest blog nu detine drepturile de autor ale acestei imagini sau postari, dar acest blog rezuma o selectie de cuvinte cheie pe care le cautati din unele bloguri de incredere si bine sper ca acest lucru te va ajuta foarte mult
In mathematics, the determinant is a scalar value that is a function of the entries of a square matrix. Vom asocia acestei matrici un numar notat det(a) numit determinantul pentru calculul determinantului de ordin trei se utilizeaza trei tehnici simple: Le déterminant numéral ordinal (appelé aussi adjectif numéral ordinal) est employé pour préciser l'ordre ou le rang pour les personnes, les animaux ou les pour construire un déterminant numéral ordinal, on part généralement de l'adjectif numéral cardinal qui correspond, et on ajoute « ième ».
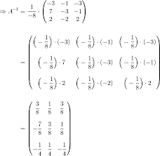
Un determinant de ordinul trei.
Başlangıçta bir matrisin determinantını bulmak kafa karıştırıcı olabilir ama birkaç. (se inmultesc pe diagonala, pornind din stanga, apoi se scad rezultatele). Este un determinant de ordin n care contine doar numere si poate fi dezvoltat.
Bir matrisin determinantı matematiksel analizde, lineer cebirde ve ileri seviye geometride sıklıkla kullanılır. Pentru fixate vom reprezenta prin matricea pătrată de ordine asupra lui care se obține din prin suprimarea rândului și colunei. Determinantul de ordinul 3 are mai multe metode de calcul, prima dintre ele regula lui sarrus.
Vom asocia acestei matrici un numar notat det(a) numit determinantul pentru calculul determinantului de ordin trei se utilizeaza trei tehnici simple:
Apmainot determinanta divas rindas vai divas kolonnas vietām, determinanta zīme mainās uz pretējo, bet absolūtā vērtība nemainās. O determinante de uma matriz de ordem 1, é igual ao próprio elemento da matriz, pois esta apresenta apenas uma linha e uma coluna. It allows characterizing some properties of the matrix and the linear map represented by the matrix.
Fie a= o matrice patratica. Pentru a calcula un astfel de determinant se. (se inmultesc pe diagonala, pornind din stanga, apoi se scad rezultatele).
Fie a= o matrice patratica.
Fie determinantul de ordin 3, utilizeaz tabelul de mai jos. Для просмотра онлайн кликните на видео ⤵. Definitia determinantului de ordin n.

Posting Komentar untuk "Determinanti De Ordin 3"